APIs in Dermatology
Cas no.: 65277-42-1 Ketoconazole and intermediates
Molecular Weight:531.43
Molecular formula:C26H28Cl2N4O4
IUPAC Name: 1-[4-[4-[[(2R,4S)-2-(2,4-dichlorophenyl)-2-(imidazol-1-ylmethyl)-1,3-dioxolan-4-yl]methoxy]phenyl]piperazin-1-yl]ethanone
Cas no.: 86386-73-4 Fluconazole and intermediates
Molecular Weight:306.27
Molecular formula:C13H12F2N6O
IUPAC Name: 2-(2,4-difluorophenyl)-1,3-bis(1,2,4-triazol-1-yl)propan-2-ol
Cas no.: 84625-61-6 Itraconazole and intermediates
Molecular Weight:705.63
Molecular formula:C35H38Cl2N8O4
IUPAC Name:2-butan-2-yl-4-[4-[4-[4-[[(2R,4S)-2-(2,4-dichlorophenyl)-2-(1,2,4-triazol-1-ylmethyl)-1,3-dioxolan-4-yl]methoxy]phenyl]piperazin-1-yl]phenyl]-1,2,4-triazol-3-one
APIs in Ophthalmology
Cas no.: 78281-72-8 Nepafenac and intermediates
Molecular Weight:254.28g/mol
Molecular formula:C15H14N2O2
IUPAC Name:2-(2-amino-3-benzoylphenyl)acetamide
Cas no.: 91714-94-2 Bromfenac and intermediates
Molecular Weight:334.16g/mol
Molecular formula:C15H12BrNO3
IUPAC Name:2-[2-amino-3-(4-bromobenzoyl)phenyl]acetic acid
Cas no.: 147084-10-4 Alcaftadine and intermediates
Molecular Weight:307.4g/mol
Molecular formula:C19H21N3O
IUPAC Name:11-(1-methylpiperidin-4-ylidene)-5,6-dihydroimidazo[2,1-b][3]benzazepine-3-carbaldehyde
APIs in Cardiology & Dibetology
Cas no.: 93479-97-1 Glimepiride and intermediates
Molecular Weight: 490.6g/mol
Molecular formula: C24H34N4O5S
IUPAC Name: 4-ethyl-3-methyl-N-[2-[4-[(4-methylcyclohexyl)carbamoylsulfamoyl]phenyl]ethyl]-5-oxo-2H-pyrrole-1-carboxamide
Cas no.: 29094-61-9 Glipizide
Molecular Weight:445.5g/mol
Molecular formula:C21H27N5O4S
IUPAC Name: N-[2-[4-(cyclohexylcarbamoylsulfamoyl)phenyl]ethyl]-5-methylpyrazine-2-carboxamide
Cas no.: 26807-65-8 Indapamide
Molecular Weight:365.8g/mol
Molecular formula: C16H16ClN3O3S
IUPAC Name: 4-chloro-N-(2-methyl-2,3-dihydroindol-1-yl)-3-sulfamoylbenzamide
Cas no.: 34523-00-5 Atorvastatin and intermediates
Molecular Weight: 558.6g/mol
Molecular formula: C33H35FN2O5
IUPAC Name: (3R,5R)-7-[2-(4-fluorophenyl)-3-phenyl-4-(phenylcarbamoyl)-5-propan-2-ylpyrrol-1-yl]-3,5-dihydroxyheptanoic acid
APIs in Urology
Cas no.: 14460-53-7 Febuxostat and intermediates
Molecular Weight:316.4g/mol
Molecular formula:C16H16N2O3S
IUPAC Name: 2-[3-cyano-4-(2-methylpropoxy)phenyl]-4-methyl-1,3-thiazole-5-carboxylic acid
Antibiotics and Antivirals
Cas no.: 59277-89-3 Acyclovir and intermediates
Molecular Weight:225.2g/mol
Molecular formula:C8H11N5O3
IUPAC Name: 2-amino-9-(2-hydroxyethoxymethyl)-1H-purin-6-one
Cas no.: 106685-40-9 Adapalene and Intermediate
Molecular Weight: 412.5g/mol
Molecular formula:C28H28O3
IUPAC Name: 6-[3-(1-adamantyl)-4-methoxyphenyl]naphthalene-2-carboxylic acid
Cas no.: 405165-61-9 Basifloxacin and intermediates
Molecular Weight: 430.3g/mol
Molecular formula:C19H21ClFN3O3 • HCl
IUPAC Name: Besifloxacin Hydrochloride
Cas no.: 992-21-2 Lymecycline and intermediates
Molecular Weight: 602.6g/mol
Molecular formula: C29H38N4O10
IUPAC Name: (2S)-6-[[[(4S,4aS,5aS,6S,12aR)-4-(dimethylamino)-1,6,10,11,12a-pentahydroxy-6-methyl-3,12-dioxo-4,4a,5,5a-tetrahydrotetracene-2-carbonyl]amino]methylamino]-2-aminohexanoic acid
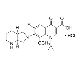
Cas no.: 186826-86-8 Moxifloxacin and intermediates
Molecular Weight: 437.89g/mol
Molecular formula:C21H24FN3O4· HCl
IUPAC Name:1-Cyclopropyl-7-[(1S,6S)-2,8-diazabicyclo[4.3.0]nonan-8-yl]-6-fluoro-8-methoxy-4-oxoquinoline-3-carboxylic acid
Cas no.: 55981-09-4 Nitazoxanide and intermediates
Molecular Weight:307.28g/mol
Molecular formula:C12H9N3O5S
IUPAC Name:[2-[(5-nitro-1,3-thiazol-2-yl)carbamoyl]phenyl] acetate
Cas no.: 124832-27-5 Valacyclovir and intermediates
Molecular Weight:324.34g/mol
Molecular formula:C13H20N6O4
IUPAC Name: 2-[(2-amino-6-oxo-1H-purin-9-yl)methoxy]ethyl (2S)-2-amino-3-methylbutanoate
APIs in Pulmonology
Cas no.: 611-75-6 Bromhexine and intermediates
Molecular Weight:412.59g/mol
Molecular formula:C14H21Br2ClN2
IUPAC Name: 2,4-dibromo-6-[[cyclohexyl(methyl)amino]methyl]aniline;hydrochloride
Cas no.: 113-92-8 Chlorpheniramine and intermediates
Molecular Weight:274.79g/mol
Molecular formula:C16H19ClN2
IUPAC Name: 3-(4-chlorophenyl)-N,N-dimethyl-3-pyridin-2-ylpropan-1-amine
Cas no.: 51022-70-9 Salbutamol Sulphate and intermediates
Molecular Weight:576.7g/mol
Molecular formula:C26H44N2O10S
IUPAC Name: 4-[2-(tert-butylamino)-1-hydroxyethyl]-2-(hydroxymethyl)phenol;sulfuric acid
Cas no.: 148563-16-0 Levo-Salbutamol and intermediates
Molecular Weight:288.35g/mol
Molecular formula:C13H21NO3.1/2(H2O4S)
IUPAC Name: 4-[(1R)-2-(tert-butylamino)-1-hydroxyethyl]-2-(hydroxymethyl)phenol;sulfuric acid
Cas no.: 151767-02-1 Montelukast Sodium
Molecular Weight:608.2g/mol
Molecular formula: C35H35ClNNaO3S
IUPAC Name: sodium;2-[1-[[(1R)-1-[3-[(E)-2-(7-chloroquinolin-2-yl)ethenyl]phenyl]-3-[2-(2-hydroxypropan-2-yl)phenyl]propyl]sulfanylmethyl]cyclopropyl]acetate
Analgesics and Anti-inflammatory and other category Drugs
Cas no.: 156604-79-4 Dexketoprofen and intermediates
Molecular Weight:375.4g/mol
Molecular formula:C20H25NO6
IUPAC Name: 2-amino-2-(hydroxymethyl)propane-1,3-diol;(2S)-2-(3-benzoylphenyl)propanoic acid
Cas no.: 36282-47-0 Tramadol HCl and intermediates
Molecular Weight:299.83g/mol
Molecular formula:C16H26ClNO2
IUPAC Name: (1R,2R)-2-[(dimethylamino)methyl]-1-(3-methoxyphenyl)cyclohexan-1-ol;hydrochloride
Cas no.: 129938-20-1 Dapoxetine and intermediates
Molecular Weight:341.9g/mol
Molecular formula:C21H24ClNO
IUPAC Name: (1S)-N,N-dimethyl-3-naphthalen-1-yloxy-1-phenylpropan-1-amine;hydrochloride
Cas no.: 141625-93-6 Dronedarone Hydrochloride and intermediates
Molecular Weight:593.2g/mol
Molecular formula:C31H45ClN2O5S
IUPAC Name: N-[2-butyl-3-[4-[3-(dibutylamino)propoxy]benzoyl]-1-benzofuran-5-yl]methanesulfonamide;hydrochloride
Anthelmintic or anti-worm medication
Cas no.: 54965-21-8 Albendazole
Molecular Weight:265.33g/mol
Molecular formula:C12H15N3O2S
IUPAC Name: methyl N-(6-propylsulfanyl-1H-benzimidazol-2-yl)carbamate
Cas no.: 43210-67-9 Febendazole
Molecular Weight:299.35g/mol
Molecular formula:C15H13N3O2S
IUPAC Name: Methyl N-(6-phenylsulfanyl-1H-benzoimidazol-2-yl)carbamate
Cas no.: 20559-55-1 Oxibendazole
Molecular Weight:249.27g/mol
Molecular formula:C12H15N3O3
IUPAC Name: methyl N-(6-propoxy-1H-benzimidazol-2-yl)carbamate
Cas no.: 68786-66-3 Triclabendazole
Molecular Weight:359.7g/mol
Molecular formula:C14H9Cl3N2OS
IUPAC Name: 6-chloro-5-(2,3-dichlorophenoxy)-2-methylsulfanyl-1H-benzimidazole
Cas no.: 19387-91-8 Tinidazole
Molecular Weight:247.27g/mol
Molecular formula:C8H13N3O4S
IUPAC Name: 1-(2-ethylsulfonylethyl)-2-methyl-5-nitroimidazole
Antimalarial & Covid-19
Cas no.: 50-63-5 Chloroquine Phosphate
Molecular Weight:515.9g/mol
Molecular formula:C18H32ClN3O8P2
IUPAC Name: 4-N-(7-chloroquinolin-4-yl)-1-N,1-N-diethylpentane-1,4-diamine;phosphoric acid
Cas no.: 118-42-3 Hydroxychloroquine
Molecular Weight:335.9g/mol
Molecular formula:C18H26ClN3O
IUPAC Name: 2-[4-[(7-chloroquinolin-4-yl)amino]pentyl-ethylamino]ethanol
Generic Peptides
Cas no.: 74381-53-6 Leuprolide Acetate
Molecular Weight:1269.4 g/mol
Molecular formula:C59H84N16O12 • C2H4O2
IUPAC Name: (2S)-1-[(2S)-5-carbamimidamido-2-[(2S)-2-[(2R)-2-[(2S)-2-[(2S)-3-hydroxy-2-[(2S)-2-[(2S)-3-(1H-imidazol-4-yl)-2-{[(2S)-5-oxopyrrolidin-2-yl]formamido}propanamido]-3-(1H-indol-2-yl)propanamido]propanamido]-3-(4-hydroxyphenyl)propanamido]-4-methylpentanamido]-4-methylpentanamido]pentanoyl]-N-ethylpyrrolidine-2-carboxamide
Cas no.: 57773-63-4 Triptorelin
Molecular Weight:1311.4 g/mol
Molecular formula:C64H82N18O13
IUPAC Name: 5-oxo-D-prolyl-L-histidyl-Ltryptophyl-L-seryl-Ltyrosyl-3-(1H-indol-2-yl)-L-alanylleucyl-L-arginyl-L-prolylglycinamide
Cas no.: 83150-76-9 Octreotide
Molecular Weight:1019.24 g/mol
Molecular formula:C49H66N10O10S2
IUPAC Name:(4R,7S,10S,13R,16S,19R)-10-(4-aminobutyl)-19-[[(2R)-2-amino-3-phenyl-propanoyl]amino]-16-benzyl-N-[(2R,3R)-1,3-dihydroxybutan-2-yl]-7-(1-hydroxyethyl)-13-(1H-indol-3-ylmethyl)-6,9,12,15,18-pentaoxo-1,2-dithia-5,8,11,14,17-pentazacycloicosane-4-carboxamide
Future pipeline ( R & D ) API
Cas no.: 910463-68-2 Semglutide
Molecular Weight:4113.64 g/mol
Molecular formula:C187H291N45O59
IUPAC Name:18-[[(1R)-4-[2-[2-[2-[2-[2-[2-[[(5S)-5-[[(2S)-2-[[(2S)-2-[[(2S)-5-amino-2-[[2-[[(2S)-2-[[(2S)-2-[[(2S)-2-[[(2S)-2-[[(2S)-2-[[(2S)-2-[[(2S)-2-[[(2S)-2-[[(2S,3R)-2-[[(2S)-2-[[(2S,3R)-2-[[2-[[(2S)-2-[[2-[[(2S)-2-amino-3-(1H-imidazol-5-yl)propanoyl]amino]-2-methylpropanoyl]amino]-4-carboxybutanoyl]amino]acetyl]amino]-3-hydroxybutanoyl]amino]-3-phenylpropanoyl]amino]-3-hydroxybutanoyl]amino]-3-hydroxypropanoyl]amino]-3-carboxypropanoyl]amino]-3-methylbutanoyl]amino]-3-hydroxypropanoyl]amino]-3-hydroxypropanoyl]amino]-3-(4-hydroxyphenyl)propanoyl]amino]-4-methylpentanoyl]amino]-4-carboxybutanoyl]amino]acetyl]amino]-5-oxopentanoyl]amino]propanoyl]amino]propanoyl]amino]-6-[[(2S)-1-[[(2S)-1-[[(2S,3S)-1-[[(2S)-1-[[(2S)-1-[[(2S)-1-[[(2S)-1-[[(2S)-5-carbamimidamido-1-[[2-[[(2S)-5-carbamimidamido-1-(carboxymethylamino)-1-oxopentan-2-yl]amino]-2-oxoethyl]amino]-1-oxopentan-2-yl]amino]-3-methyl-1-oxobutan-2-yl]amino]-4-methyl-1-oxopentan-2-yl]amino]-3-(1H-indol-3-yl)-1-oxopropan-2-yl]amino]-1-oxopropan-2-yl]amino]-3-methyl-1-oxopentan-2-yl]amino]-1-oxo-3-phenylpropan-2-yl]amino]-4-carboxy-1-oxobutan-2-yl]amino]-6-oxohexyl]amino]-2-oxoethoxy]ethoxy]ethylamino]-2-oxoethoxy]ethoxy]ethylamino]-1-carboxy-4-oxobutyl]amino]-18-oxooctadecanoic acid
Cas no.: 2023788-19-2 Tirzepatide
Molecular Weight:4813,53 g.mol-1
Molecular formula:C225H348N48O68
IUPAC Name:(2S)-2-[[20-[[(5S)-6-[[(2S,3S)-1-[[(2S)-1-[[(2S)-5-amino-1-[[(2S)-6-amino-1-[[(2S)-1-[[(2S)-1-[[(2S)-1-[[(2S)-5-amino-1-[[(2S)-1-[[(2S)-1-[[(2S,3S)-1-[[(2S)-1-[[2-[[2-[(2S)-2-[[(2S)-1-[[(2S)-1-[[2-[[(2S)-1-[(2S)-2-[(2S)-2-[(2S)-2-[[(2S)-1-amino-3-hydroxy-1-oxopropan-2-yl]carbamoyl]pyrrolidine-1-carbonyl]pyrrolidine-1-carbonyl]pyrrolidin-1-yl]-1-oxopropan-2-yl]amino]-2-oxoethyl]amino]-3-hydroxy-1-oxopropan-2-yl]amino]-3-hydroxy-1-oxopropan-2-yl]carbamoyl]pyrrolidin-1-yl]-2-oxoethyl]amino]-2-oxoethyl]amino]-1-oxopropan-2-yl]amino]-3-methyl-1-oxopentan-2-yl]amino]-4-methyl-1-oxopentan-2-yl]amino]-3-(1H-indol-3-yl)-1-oxopropan-2-yl]amino]-1,5-dioxopentan-2-yl]amino]-3-methyl-1-oxobutan-2-yl]amino]-1-oxo-3-phenylpropan-2-yl]amino]-1-oxopropan-2-yl]amino]-1-oxohexan-2-yl]amino]-1,5-dioxopentan-2-yl]amino]-1-oxopropan-2-yl]amino]-3-methyl-1-oxopentan-2-yl]amino]-5-[[(2S)-2-[[(2S)-2-[[2-[[(2S,3S)-2-[[(2S)-2-[[(2S)-2-[[(2S)-2-[[(2S)-2-[[(2S,3R)-2-[[(2S)-2-[[(2S,3R)-2-[[2-[[(2S)-2-[[2-[[(2S)-2-amino-3-(4-hydroxyphenyl)propanoyl]amino]-2-methylpropanoyl]amino]-4-carboxybutanoyl]amino]acetyl]amino]-3-hydroxybutanoyl]amino]-3-phenylpropanoyl]amino]-3-hydroxybutanoyl]amino]-3-hydroxypropanoyl]amino]-3-carboxypropanoyl]amino]-3-(4-hydroxyphenyl)propanoyl]amino]-3-hydroxypropanoyl]amino]-3-methylpentanoyl]amino]-2-methylpropanoyl]amino]-4-methylpentanoyl]amino]-3-carboxypropanoyl]amino]-6-oxohexyl]amino]-20-oxoicosanoyl]amino]-5-[2-[2-[2-[2-[2-(carboxymethoxy)ethoxy]ethylamino]-2-oxoethoxy]ethoxy]ethylamino]-5-oxopentanoic acid
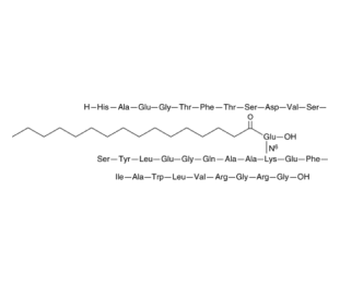
Cas no.: 204656-20-2 Liraglutide
Molecular Weight: 3751 g/mol
Molecular formula:C172H265N43O51
IUPAC Name:H-His-Ala-Glu-Gly-Thr-Phe-Thr-Ser-Asp-Val-Ser-Ser-Tyr-Leu-Glu-Gly-Gln-Ala-Ala-Arg-Glu-Phe-Ile-Ala-Trp-Leu-Val-Arg-Gly-Lys(1)-Gly-OH.palmitoyl-DL-Glu(1)-OH
